Généralités
Substance(s)
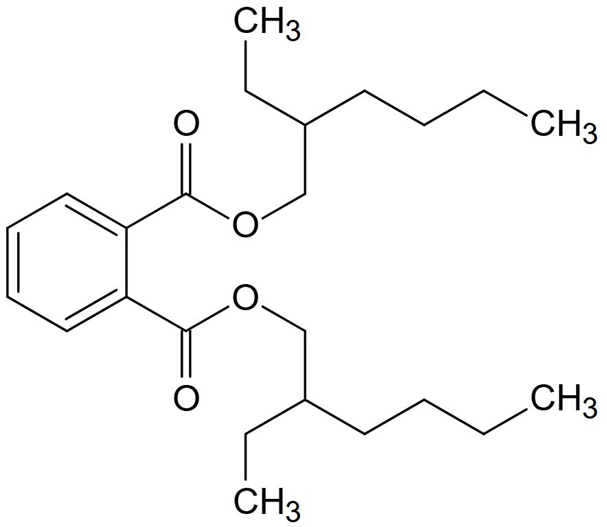
| Formule | Nom | Famille chimique | Numéro CAS | Numéro CE | Numéro index | Synonymes |
|---|---|---|---|---|---|---|
C24H38O4 |
Phtalate de bis(2-éthylhexyle) | 117-81-7 | 204-211-0 | 607-317-00-9 | Phtalate de di(2-éthylhexyle), Phtalate de di-sec-octyle, DEHP, DOP |
Formule chimique

Étiquette(s)
phtalate de bis(2-éthylhexyle)
Danger
-
H360FD - Peut nuire à la fertilité. Peut nuire au fœtus.
Nota : Les conseils de prudence P sont sélectionnés selon les critères de l'annexe 1 du réglement CE n° 1272/2008.
204-211-0
Selon l’annexe VI du règlement CLP.