Pathologie - Toxicologie
-
Toxicocinétique - Métabolisme [3, 20]
Le toluène suit un métabolisme comparable chez l’Homme et l’animal : il est bien absorbé par les tractus gastro-intestinal et respiratoire et, à un degré moindre, par voie cutanée ; il se distribue dans les tissus riches en lipides, en particulier le cerveau ; il est éliminé tel quel dans l’air expiré et, après transformation, dans l’urine, majoritairement sous forme d’acide hippurique.
Chez l'animal
Absorption
Chez l'Homme et l'animal, l'absorption respiratoire est rapide, le toluène apparaît dans le sang après 10 à 15 minutes d'exposition, avec une forte corrélation, pendant et après l'exposition, entre la concentration alvéolaire et la concentration sanguine. L'absorption (environ 50 % de la concentration) est fortement influencée par le taux de ventilation pulmonaire. Chez le rat, les pics sanguin et cérébral sont atteints après 53 et 58 minutes respectivement.
Le toluène est absorbé complètement par le tractus gastro-intestinal de l'Homme et du rat avec, chez ce dernier, une vitesse inférieure à l'absorption pulmonaire : le pic sanguin est atteint après 2 heures.
Il est absorbé lentement à travers la peau humaine (14 à 23 mg/cm2/h) avec des variations individuelles importantes. Chez l'animal, le taux de pénétration cutanée est faible pour le toluène liquide et pratiquement inexistant pour la forme vapeur (4,6 µg/cm2/h pour la souris nude exposée à 1000 ppm). Sur la peau de rat, in vitro, la pénétration est de 0,78 µg/cm2/min.
Distribution
Dans le sang, le toluène est réparti entre les globules rouges, où il est fixé à l'hémoglobine, et le sérum avec une partition 1:1 chez l'Homme et 1:2 chez le rat.
Le toluène se distribue dans les tissus riches en lipides et fortement vascularisés comme le cerveau, en particulier la matière blanche, la moelle osseuse, la moelle épinière, le foie, le tissu adipeux et les reins. La concentration dans le cerveau semble plus importante que dans le sang; le tissu adipeux joue le rôle de réservoir. Le toluène passe aisément la barrière placentaire du rat, sa concentration dans le fœtus est environ 75 % de celle du sang maternel. Il est secrété dans le lait maternel chez l'Homme et l'animal.
Métabolisme
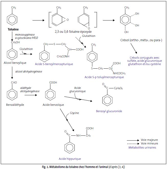
Le toluène (80 % de la dose absorbée) est oxydé dans le foie par les monooxygénases à cytochrome P450 (CYP2E1, CYP2B6, CYP2C8, CYP1A2, et CYP1A1), en alcool benzylique, benzaldéhyde puis acide benzoïque qui est conjugué avec la glycine, pour former l'acide hippurique (83 - 94 % des métabolites urinaires), ou avec l'acide glucuronique, pour former le benzylglucuronide (3 à 9 % des métabolites urinaires). Une faible partie (environ 1 %) est oxydée en ortho-, méta- et para-crésol qui sont conjugués avec des sulfates ou l'acide glucuronique (voir figure 1). Les acides S-benzylmercapturique et S-p-toluylmercapturique sont des métabolites urinaires mineurs, identifiés chez l'Homme.
Le toluène, à partir de 1000 ppm chez le rat, est inducteur des enzymes hépatiques à cytochrome P450 de son propre métabolisme.
Schéma métabolique

Excrétion
Chez l'Homme, l'élimination sanguine du toluène suit une courbe triphasique avec des demi-vies d'environ 2 minutes, 30 minutes et 3,5 heures. L'exposition à de fortes concentrations provoque l'apparition d'une 4e phase, de demi-vie de 20 à 90 heures, qui correspondrait à l'élimination du toluène stocké dans les tissus adipeux. Chez le rat, la courbe d'élimination sanguine est biphasique avec des demi-vies de 6 et 90 minutes. L'élimination du toluène stocké dans les tissus adipeux est beaucoup plus rapide que chez l'Homme.
Chez l'Homme comme chez l'animal, le toluène est éliminé dans l'air expiré sous forme inchangée (10 - 20 %) et dans l'urine (80 %) sous forme métabolisée (acide hippurique (60 - 70 %), benzoylglucuronide (10 - 20 %), acides mercapturiques ou crésols conjugués). Une très faible quantité (0,06 %) du toluène absorbé par inhalation est éliminée sous forme inchangée dans l'urine.
Chez le rat, exposé par inhalation, une petite quantité (< 2 %) de la dose absorbée est éliminée par la bile dans les intestins où elle est réabsorbée ; de ce fait, les fèces ne contiennent que des quantités négligeables de toluène ou de ses métabolites.
L'alcool éthylique inhibe la majorité des voies métaboliques du toluène, provoquant une diminution de l'excrétion d'acide hippurique et une augmentation de l'élimination de toluène inchangé dans l'air exhalé. Une coexposition toluène/xylène provoque, par compétition métabolique, une augmentation des concentrations sanguines et cérébrales de toluène.
Surveillance Biologique de l'exposition [21]
Les dosages de toluène urinaire en fin de poste de travail et de toluène sanguin en début de poste et fin de semaine peuvent être utilisés pour évaluer l’exposition respectivement de la journée et de la semaine de travail. Ces indicateurs sont spécifiques de l'exposition au toluène, bien corrélés aux concentrations atmosphériques (le toluène urinaire présente une bonne corrélation même pour des expositions inférieures à 5 ppm). Des précautions doivent être prises pour éviter une contamination externe de l'échantillon.
Le dosage de l'ortho-crésol urinaire en fin de poste et fin de semaine peut également être proposé pour évaluer l’exposition de la semaine de travail. La corrélation avec les concentrations atmosphériques de toluène est moyenne en dessous de 8 ppm.
Les valeurs limites biologiques (VLB) proposées par l'Anses pour ces trois indicateurs sont basées sur une exposition à la VLEP-8h de 20 ppm. D’autres organismes ont également établi des valeurs biologiques d’interprétation professionnelles [21].
Par ailleurs, des valeurs biologiques de référence (VBR) correspondant au 95e percentile des valeurs retrouvées en population générale sont proposées par l’Anses pour ces indicateurs [21].
Plusieurs facteurs sont susceptibles d'interférer avec le métabolisme du toluène : la co-exposition à certains solvants à fortes doses (styrène, benzène, xylènes, trichloroéthylène) et la consommation d'alcool concomitante à l'exposition inhibent le métabolisme du toluène, la consommation chronique d'alcool induit son métabolisme. La prise de certains médicaments (paracétamol) peut augmenter la concentration sanguine de toluène. L'activité physique augmente l’absorption de toluène et les concentrations des trois indicateurs cités ci-dessus.
Toxicité expérimentaleToxicité aiguë [3, 5, 20, 22]
Le toluène a une faible toxicité aiguë; sa cible première est le système nerveux central. Il est irritant pour la peau, les yeux et le système respiratoire.
La CL50 chez le rat est de 28,1 mg/l/4 h (7500 ppm/4 h) ou de 4618 ppm/6 h et chez la souris de 19,9 à 27,9 mg/l/4 h (5308 - 7440 ppm/4 h) ou de 5320 ppm/7 h ; chez le rat, la DL50 orale est de 5300 à 7400 mg/kg et la DL50 cutanée, chez le lapin, est de 12 400 mg/kg.
Chez le rat et la souris, les symptômes initiaux (hyperactivité, irritation des membranes muqueuses, avec écoulement nasal et lacrymal, et des voies respiratoires supérieures, avec augmentation de la fréquence respiratoire) sont suivis de narcose, ataxie, altération de la fonction cognitive, perte d'équilibre et modifications neurochimiques ; les animaux meurent par arrêt respiratoire suite à une dépression profonde du système nerveux central. À des concentrations supérieures à 2000 ppm, une forte corrélation a été montrée entre l'intensité de cette dépression et le taux de toluène dans le cerveau.
On note aussi des modifications hématologiques (baisse du nombre de leucocytes et augmentation de l'hématocrite, du taux de glucose et de la résistance des érythrocytes à la lyse chez le rat exposé à 2500 ppm) et hépatiques (augmentation de poids du foie, augmentation des enzymes hépatiques impliqués dans le métabolisme du toluène chez le rat, la souris et le lapin exposés à 795 ppm).
Le toluène est irritant pour la peau du lapin, de la souris et du cobaye. La sévérité de l'irritation cutanée induite chez le lapin augmente avec le temps jusqu'à 72 heures (érythème modéré et œdème léger) sans réversibilité à 7 jours [23].
Il est légèrement irritant pour l'œil du lapin, rougeur de la conjonctive et chemosis apparaissent dans les 72 heures et persistent pendant 24 heures [24] ; le rinçage après 4 et 30 secondes ne modifie pas l'intensité de l'irritation [23].
Le toluène est irritant pour le tractus respiratoire à forte concentration: chez la souris, la RD50 est de 12 650 à 19 875 mg/m3 (3373 à 5300 ppm) [25, 26].
Il n'est pas sensibilisant pour le cobaye (test de maximisation).
Toxicité subchronique, chronique [3, 5, 20, 22]
En exposition prolongée ou répétée, le toluène provoque, chez le rat et la souris, une augmentation de poids de nombreux organes, une modification du taux de neurotransmetteurs, une neurotoxicité au niveau de l’hippocampe et du cervelet et une perte auditive.
Chez le rat, une exposition par inhalation de 15 semaines provoque, à partir de 1250 ppm, une augmentation du poids des reins et du foie et, à partir de 2500 ppm, une augmentation du poids corporel, cérébral, cardiaque, pulmonaire et testiculaire, ainsi qu'une dyspnée et une ataxie. Dans le foie, le toluène (1600 ppm, 8 h/j, 6 mois) induit une hypertrophie des zones centrolobulaires avec prolifération, en fonction de la dose, du réticulum endoplasmique dans les hépatocytes. Après une exposition pendant 2 ans, il se produit, à partir de 1500 ppm, une inflammation de la muqueuse nasale avec érosion de l'épithélium olfactif, métaplasie et dégénérescence de l'épithélium respiratoire. La NOAEL (concentration sans effet toxique observé) est de 625 ppm pour une exposition de 6,5 h/j, 5 j/sem pendant 15 semaines ou de 300 ppm pendant 2 ans.
Par voie orale, le toluène induit, chez le rat et la souris, à des concentrations supérieures a 2500 mg/kg/j, piloérection, larmoiements et salivation excessifs, prostration, hypoactivité, ataxie, augmentation du poids relatif et absolu du foie, des reins et du cœur. La NOAEL par voie orale, pour le rat et la souris, est de 625 mg/kg/j pendant 13 semaines.
Dans le cerveau du rat, il provoque des modifications neurologiques (nécrose neuronale dans l'hippocampe et le cervelet à des concentrations inhalatoires supérieures ou égales à 1500 ppm, ou orales supérieures ou égales à 1250 mg/kg/j) et neurochimiques (modification des taux de noradrénaline, dopamine et 5-hydroxytryptamine dans diverses régions cérébrales à des concentrations supérieures ou égales à 500 ppm).
Le toluène occasionne, chez le rat, par voie inhalatoire, orale ou sous-cutanée, une perte auditive irréversible mise en évidence par une diminution de la réponse au bruit, des modifications électrophysiologiques et des lésions morphologiques des cellules ciliées externes de la cochlée. Les effets morphologiques et fonctionnels sont effectifs après une exposition de 5 jours à 1400 ppm et s'intensifient avec le temps[27].
Mode d'action :
Les effets neurologiques, comme la dépression du système nerveux central et la narcose, découlent, au moins en partie, d'interactions réversibles entre le toluène (lui-même et non ses métabolites) et les composants membranaires (lipides et protéines) des cellules nerveuses cérébrales ; le prétraitement des rats par le phénobarbital augmente le métabolisme du toluène et raccourcit la durée de la narcose. Cette interaction, si elle est répétée, pourrait modifier l'activité de certains enzymes impliqués dans la synthèse et/ou la dégradation des neurotransmetteurs ; le taux de ces derniers à certains endroits du cerveau est responsable des effets neurologiques produits. La perte auditive est, elle aussi, liée à l'action du toluène lui-même : un prétraitement par le phénobarbital prévient cet effet alors qu'une co-exposition avec l'éthanol, qui inhibe le métabolisme du toluène, l'augmente [27].
Effets génotoxiques
Les tests de génotoxicité effectués avec le toluène donnent des résultats variables in vitro et négatifs in vivo.
In vitro, les résultats sont négatifs pour le test d’Ames sur S. typhimurium, pour les tests de réparation de l’ADN dans les bactéries, de conversion génique chez S. cerevisiæ, ou d'effets génotoxiques chez la drosophile. Dans les cellules en culture, il induit des cassures simple brin de l’ADN (hépatocytes de rat) mais pas de lésion ou de réparation de l’ADN (fibroblastes humains), il augmente le taux de mutation (cellules de lymphome de souris) mais pas le taux de transformation morphologique (embryon de hamster Syrien) ; en absence d'activateur métabolique, il ne provoque pas d'échanges entre chromatides sœurs ou d'aberrations chromosomiques (cellules ovariennes de hamster chinois ou lymphocytes humains).
In vivo, le toluène n'induit pas de modification significative dans les tests pour lesquels l'absence de contamination par le benzène a été mesurée (dommage cytogénétique de la moelle osseuse des rongeurs ou lésion de l’ADN dans les cellules sanguines, médullaires ou hépatiques de la souris). De plus, il n'est pas mutagène pour le sperme de souris (mesure d'anomalie induite dans la tête spermatique ou test de létalité dominante).
Administré simultanément au benzène, chez le rat et la souris par voie orale, intrapéritonéale ou sous-cutanée, il réduit le nombre d'échanges entre chromatides sœurs et la fréquence des micronoyaux induits par ce dernier.
Effets cancérogènes [3, 20, 28-30]
Le toluène n’est cancérogène ni chez le rat par inhalation, ni chez la souris par inhalation et par voie cutanée.
Le toluène n'est pas cancérogène chez le rat et la souris exposés par inhalation jusqu'à 1200 ppm, 6,5 h/j, 5 j/sem, pendant 2 ans. Il provoque des lésions non néoplasiques de la cavité nasale ainsi qu'une néphropathie chez le rat et une hyperplasie de l'épithélium bronchique et des adénomes de l'hypophyse chez la souris. Par voie orale, chez le rat (gavage, 500 mg/kg/j, 4 - 5 j/sem, 2 ans), il induit une augmentation de néoplasmes lymphoréticulaires. Les résultats par voie cutanée chez la souris sont en général négatifs.
Le toluène est peu ou pas promoteur chez la souris après initiation par le 7,12-diméthylbenzanthracène ; il inhibe la cancérogenèse cutanée chez la souris, après initiation par le benzo[a]pyrène ou le 7,12-diméthylbenzanthracène et promotion par le phorbol-12-myristate-13-acétate.
Effets sur la reproduction [3, 20, 29]
Le toluène n’altère pas la fertilité du rat ou de la souris. Une étude montre qu’il est toxique pour le développement à des concentrations non toxiques pour les mères mais qu’il n’est pas tératogène in vivo ou dans les tests pratiqués in vitro.
Le toluène donne des résultats négatifs dans trois tests de tératogenèse in vitro (attachement cellulaire des cellules tumorales d'ovaire de souris, inhibition de la croissance cellulaire des cellules embryonnaires de mésenchyme palatal, inhibition de la synthèse de protéoglycanes dans les cellules murines de bourgeon embryonnaire de membre).
Il n'affecte pas la fertilité de la souris dans un test de létalité dominante, ni celle du rat dans une étude sur 2 générations (jusqu'à 2000 ppm, 6 h/j, 7 j/sem, 80 jours avant accouplement, 15 jours d'accouplement, du 1erau 20e jour de gestation et du 5e au 21e jour de lactation). Il n'a pas d'effet sur la morphologie spermatique ou la cytologie vaginale du rat (1250 ppm, 6,5 h/j, 5 j/sem, 15 semaines) ou de ses petits exposés in utero (1200 ppm, 6 h/j, du 7e jour de gestation au 18e jour après la naissance [31]. Chez le rat mâle (2000 ppm), le poids relatif et absolu de l'épididyme est diminué sans modification histologique et le comptage spermatique est réduit de 20 % sans affecter la mobilité. À plus forte concentration (6000 ppm), le comptage, la mobilité et la qualité spermatique dans l'épididyme sont réduits sans modification de poids des testicules ou de la spermatogenèse testiculaire. Il n'y a pas de modification du taux des hormones après un mois d'exposition à cette concentration [32]. La NOAEL pour la fertilité est de 600 ppm.
Le toluène traverse la barrière placentaire et a été mesuré dans divers tissus fœtaux, avec une distribution qui est fonction de l'âge gestationnel. Administré par inhalation (100 à 2000 ppm, 6 à 24 h/j), il produit des effets semblables chez le rat et la souris : toxicité pour le développement en absence de toxicité maternelle, baisse du poids fœtal et du poids à la naissance, retard de développement postnatal et neurotoxicité mise en évidence par des effets sur le comportement (augmentation de l'activité spontanée et affaiblissement des fonctions cognitives), mais pas de malformation. Le toluène n'est pas toxique lors de l'exposition par le lait maternel. La NOAEL pour le développement est de 600 ppm (2 250 mg/m3) pour le rat et de 400 ppm (1500 mg/m3) pour la souris [33].
Une toxicité maternelle (ataxie, hyperactivité, baisse de poids) est observée chez des rates gestantes exposées à 1 500 et 3 000 ppm (6 h/j, du 6e au 15e jour de gestation) ; une diminution du poids moyen des fœtus est rapportée pour ces mêmes concentrations [36]. Des diminutions des poids maternel et fœtal ont aussi été rapportées chez des rates exposées à 1 500 ppm (6 h/j, du 6e au 20e jour de gestation)[37].
Toxicité sur l’Homme [21, 28, 34]L'exposition aiguë est responsable d'une dépression du système nerveux central, de troubles digestifs et d'une pneumopathie (en cas d'ingestion). Une irritation de la peau et des yeux réversible peut être notée. L'exposition répétée peut être à l'origine de signes neurologiques centraux (psychosyndrome organique, altération de l'audition et de la vision des couleurs). Des atteintes hépatiques et rénales ont également été rapportées. Une dermatose chronique peut être observée en cas de contact répété. Les tests de génotoxicité sont généralement négatifs et il n'y a pas de donnée suffisante sur un effet cancérogène du toluène chez l'Homme. Une augmentation du nombre de fausses-couches et une foetotoxicité ont été décrites.
Toxicité aiguë
La toxicité aiguë du toluène est commune à celle des hydrocarbures pétroliers liquides distillant en dessous de 300 °C.
L'ingestion de toluène entraîne :
- des troubles digestifs : douleurs abdominales, nausées puis vomissements suivis de diarrhées ;
- une dépression du système nerveux central : syndrome ébrieux puis troubles de conscience ;
- une pneumopathie d'inhalation dont les premiers signes sont radiologiques : dans les 8 heures suivant l'ingestion, apparaissent des opacités floconneuses avec bronchogramme aérien, le plus souvent localisées aux lobes moyen et inférieur droits ; les signes cliniques sont plus tardifs : toux, dyspnée, fièvre régressant en 2 ou 3 jours en l'absence de surinfection. Des arrêts respiratoires ont été décrits.
Les connaissances relatives à l'intoxication par voie pulmonaire résultent principalement des observations rapportées après des intoxications aiguës et des études menées chez le volontaire sain.
Les effets essentiels du toluène s'exercent sur le système neurologique central. En principe, ils sont réversibles. Une exposition accidentelle à plus de 10 000 ppm pendant quelques minutes est responsable initialement d'euphorie et d'hallucination, puis de troubles de la conscience et de coma.
Chez des sujets volontaires jeunes, l'inhalation de 100 ppm pendant une période de 8 heures entraîne des troubles modérés à type de fatigue parfois accompagnés de céphalées, de vertiges et d'un endormissement.
Il s'y ajoute à 200 ppm une faiblesse musculaire, des paresthésies et quelques altérations des fonctions cognitives ; à 300 ppm, une insomnie dans la nuit qui succède à l'exposition ; à 400 ppm, une confusion mentale et des troubles de coordination.
À 500 ppm, apparaissent des nausées ; à 600 ppm, on observe une sensation de vertige, une démarche chancelante.
D'après certains auteurs, une exposition à 40 ppm pendant 5 à 6 heures n'entraînerait aucun signe d'intoxication.
L'altération des fonctions psychomotrices dépend de la concentration et de la durée d'exposition. Lors d'une exposition à 100 ppm pendant 20 minutes, le temps de réaction simple n'est pas modifié ; il est augmenté pour une exposition à 300 ppm pendant la même durée et s'élève davantage lors d'une exposition pendant 3 à 7 heures à des concentrations supérieures ou égales à 200 ppm. Ces chiffres résultent d'études sur des groupes d'individus jeunes et en bonne santé. Les signes se majorent en cas d'exercice physique et il n'y a pas d'accoutumance à l'exposition au toluène vis-à-vis d'une intoxication aiguë en cas d'exposition chronique. Les conséquences de ces expositions aiguës au toluène sur l'activité électroencéphalographique sont diversement appréciées selon les études ; quand des altérations existent, elles sont toujours mineures. Des troubles de la mémoire et des changements de la personnalité peuvent être observés.
Une irritation oculaire et des voies aériennes supérieures apparaît pour des expositions à des concentrations de 100 à 400 ppm pendant 6 à 7 heures, accompagnée d'une hypersécrétion lacrymale.
Des modifications cardiovasculaires ont été rapportées après une exposition à 200 ppm pendant 7 heures: diminution de la fréquence cardiaque et de la pression diastolique. Dans certains cas, une augmentation de la fréquence cardiaque et une arythmie peuvent être constatées.
La toxicité hépato-rénale est décrite principalement chez les toxicomanes « sniffeurs » avec acidose métabolique et atteinte tubulaire rénale.
Le toluène est un solvant des lipides cutanés et les projections peuvent entraîner des dermatoses d'irritation. Aucune manifestation d'origine immuno-allergique n'a été signalée.
La projection oculaire de toluène liquide est responsable d'irritation conjonctivale voire d'atteinte cornéenne, réversibles en 48 heures.
Toxicité chronique
La voie respiratoire est la voie usuelle d'intoxication professionnelle. De façon générale, la toxicité à terme est modérée. La morbidité chez les personnes exposées pendant 10 à 20 ans à des concentrations de l'ordre de 20 à 200 ppm n'est pas corrélée à l'exposition. Le toluène n'entraîne en général pas d'effet spécifique qui le distingue des autres solvants.
Le syndrome psycho-organique est l'effet toxique chronique majeur du toluène ; les stades les plus avancés sont irréversibles. Il associe des troubles de la mémoire, de la concentration, de la personnalité, une insomnie, une diminution des performances intellectuelles sans troubles objectifs ni altération de l'électroencéphalogramme. Il a été décrit lors de l'exposition au toluène associé à d'autres solvants ; il l'a été également chez des typographes et des imprimeurs essentiellement exposés au toluène (300 à 450 ppm) pendant de nombreuses années : la fréquence serait alors de 20 à 40 %. Cependant, ces troubles ont été aussi rapportés pour des expositions plus faibles (100 à 200 ppm). Leur incidence augmente avec le niveau d'exposition, mais il n'existe pas d'évaluation statistique permettant d'établir une relation dose-réponse ; de même, la concentration sans effet n'a pas été déterminée.
Une toxicité neurosensorielle a également été observée. Chang et al. (2006) ont recherché le risque de perte d'audition chez 58 ouvriers exposés au bruit et au toluène (concentration d'exposition comprise entre 33 et 160 ppm) et 58 ouvriers exposés au bruit seul. Ils avaient aussi un groupe de 58 témoins de la même entreprise. Le groupe exposé au bruit et au toluène (quel que soit le niveau d'exposition) présentait des pertes auditives, dans les basses fréquences, plus importantes comparées au groupe exposé au bruit seul [38].
Paramei et al. (2004) ont réalisé une méta-analyse reprenant diverses études qui avaient évalué la discrimination des couleurs grâce à l'utilisation du test Lanthony D-15. Les auteurs ont confirmé l'augmentation de l'indice de confusion des couleurs retrouvé dans la majorité des études analysées. Toutefois, compte tenu de la grande dispersion des résultats, en partie due aux facteurs de confusion, il n'a pas été possible d'affirmer le rôle du solvant dans ces anomalies. Dans ces études, les expositions moyennes étaient généralement comprises entre 20 et 40 ppm, la durée d'exposition entre 6 et 18 ans [39].
Il n'existe pas d'étude épidémiologique établissant une neurotoxicité périphérique du toluène employé seul.
Les dépressions médullaires et leucémies rapportées lors d'expositions au toluène avant 1970 étaient dues en réalité à la présence de benzène à titre d'impureté. Depuis, de nombreuses études ont démontré que le toluène n'était pas responsable de ces effets. Les seules anomalies hématologiques observées ont été des modifications morphologiques leucocytaires de signification inconnue et des variations des concentrations d'enzymes leucocytaires et lymphocytaires pour des expositions professionnelles supérieures à 50 ppm.
La fréquence accrue d'hépatomégalies, constatée dans une étude chez des travailleurs exposés au toluène, n'a pas été confirmée par les travaux ultérieurs. Par ailleurs, certains auteurs rapportent une augmentation de fréquence des élévations des transaminases et des γ-GT parmi des groupes de sujets travaillant dans l'industrie du caoutchouc et dans l'imprimerie ; cependant, la responsabilité unique du toluène est discutable en raison de l'exposition concomitante à divers produits chimiques. Par contre, d'autres études récentes portant sur la surveillance de groupes de salariés exposés au toluène seul (parfois comparés à des sujets non exposés) n'ont pas montré d'élévation anormale des transaminases et des γ-GT, même lorsqu'il existait des troubles cliniques attribuables à l'exposition au toluène. Une autre étude prenant en compte les autres facteurs de risque hépatique ne montre pas d'action hépatotoxique du toluène, il n'augmente pas l'hépatotoxicité de l'éthanol.
Une atteinte tubulaire peut être constatée avec une acidose.
Le toluène est responsable de dermatoses d'irritation par action dégraissante et desséchante sur la peau en contact. Il n'entraîne pas de sensibilisation immuno-allergique.
Effets génotoxiques
Les tests de mutagénicité réalisés sur des travailleurs exposés sont généralement négatifs. Plusieurs études ne montrent pas de différence significative de la fréquence des échanges de chromatides sœurs ou des aberrations chromosomiques dans les lymphocytes circulant entre les travailleurs exposés et des sujets non exposés. Seules deux études révèlent une augmentation de la fréquence des échanges de chromatides sœurs et des cassures chromosomiques chez des sujets exposés au toluène depuis plusieurs années à des concentrations de l'ordre de 200 à 300 ppm. Il semblerait que les effets synergiques du tabagisme n'aient pas été pris en considération dans l'interprétation des résultats.
Effets cancérogènes
Les preuves de cancérogénicité chez l'Homme sont insuffisantes. Le toluène a été classé dans le groupe 3 par le CIRC [28].
Effets sur la reproduction
Le toluène a été classé comme produit pouvant avoir un risque possible sur la fonction de reproduction. Des anomalies de taux hormonaux sont constatées mais des biais méthodologiques existent et toutes les études ne concluent pas de façon identique. Il n'y a pas d'études adéquates sur une baisse significative du taux de spermatozoïdes.
Dans une étude, le toluène entraînerait par contre un risque de fausse couche tardive pour des niveaux d'exposition inférieurs à 100 ppm en cas d'exposition précoce au cours de la grossesse. Une co-exposition à d'autres solvants n'est cependant pas exclue.
En cas d'exposition chronique maternelle, il peut être constaté un retard de croissance intra-utérine. Un syndrome ressemblant à celui décrit dans le cas de l'alcoolisme fœtal avec présence de malformations (oreilles, cœur, face, reins et membres) plus ou moins marquées, un retard de croissance et des troubles neuro-comportementaux (déficit de l'attention, hyperactivité, acquisition retardée de la parole) est également observé, chez des enfants de mères toxicomanes. Des anomalies rénales spontanément résolutives sont également notées dans le même contexte.
Dans ces cas, néanmoins, la seule responsabilité du toluène ne peut être affirmée.
Cohérence des réponses biologiques chez l'Homme et l'animal